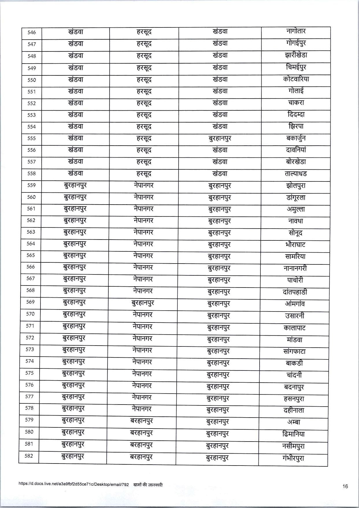
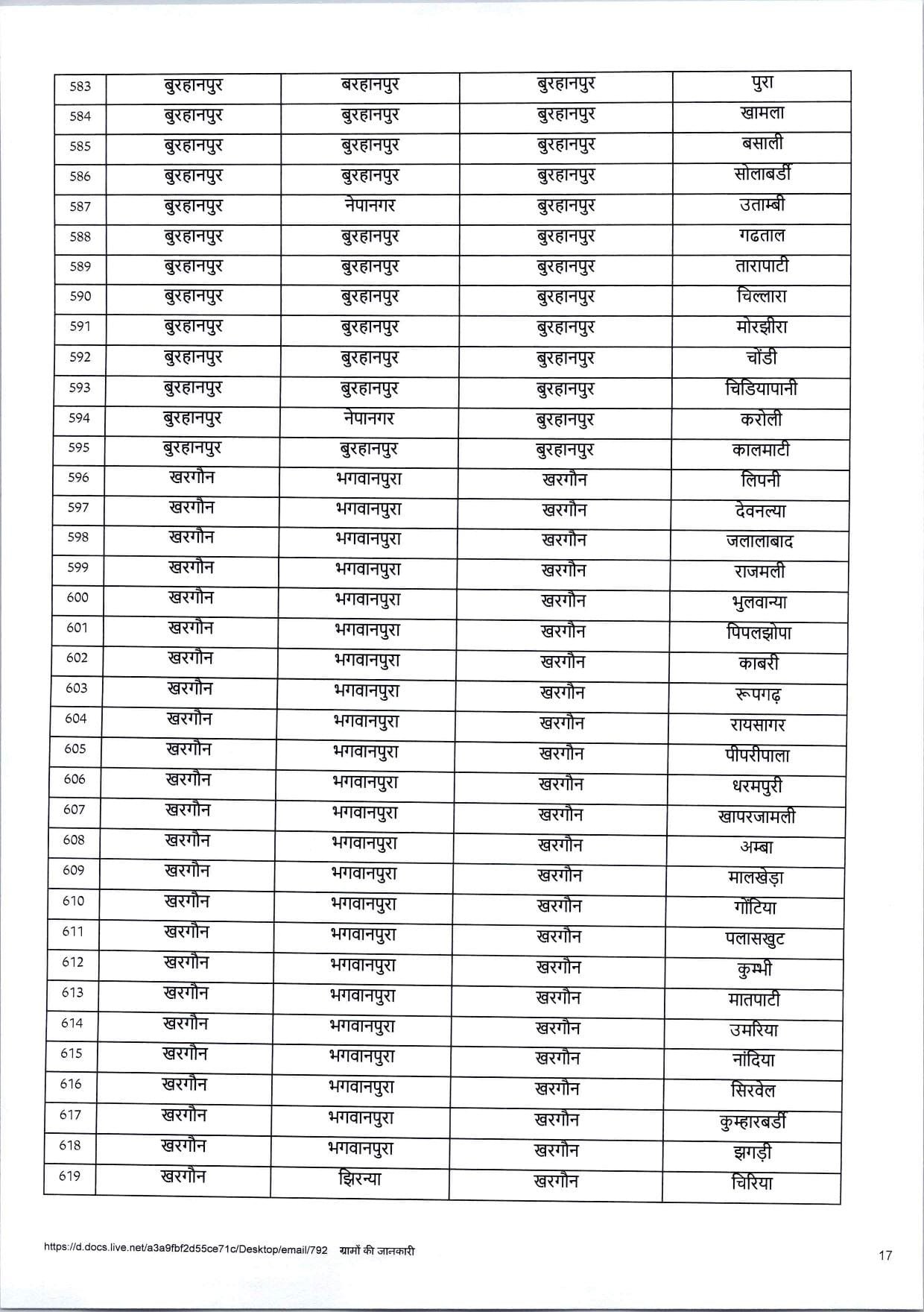
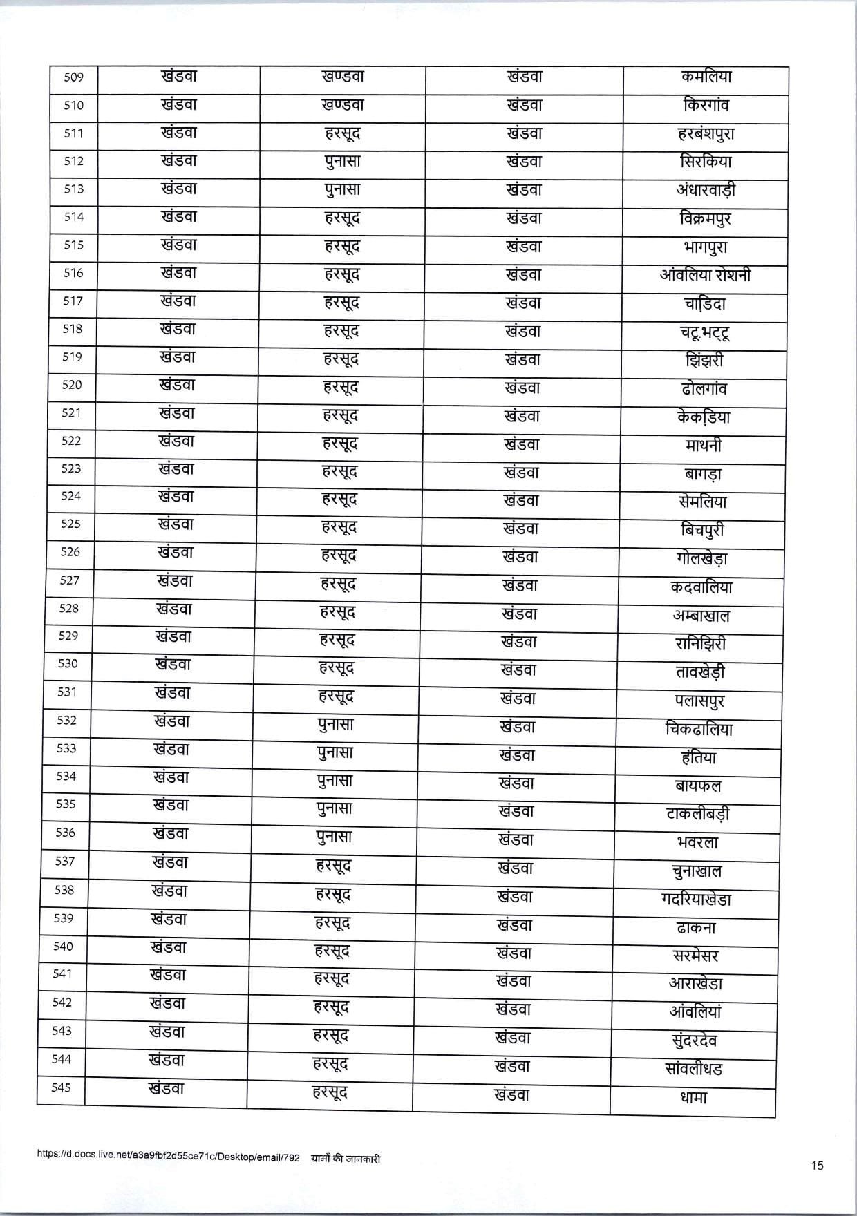
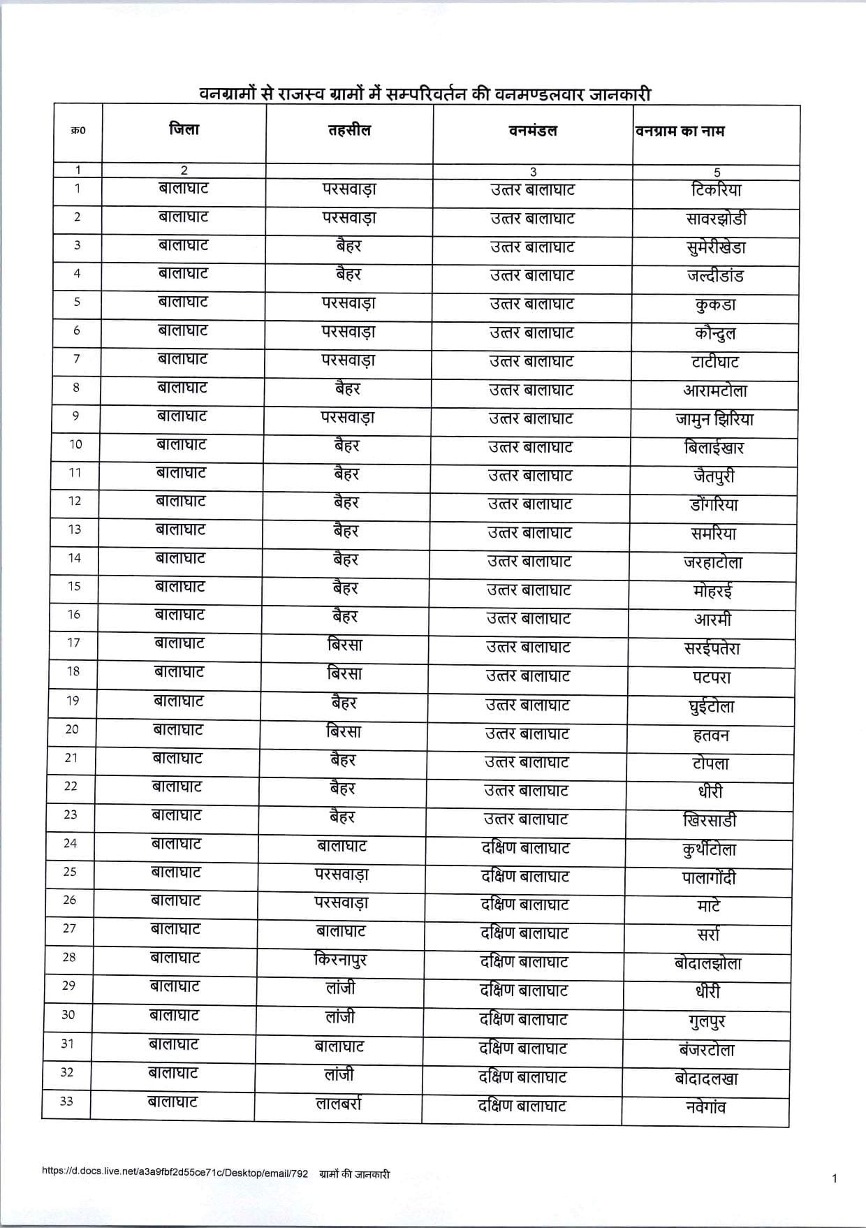
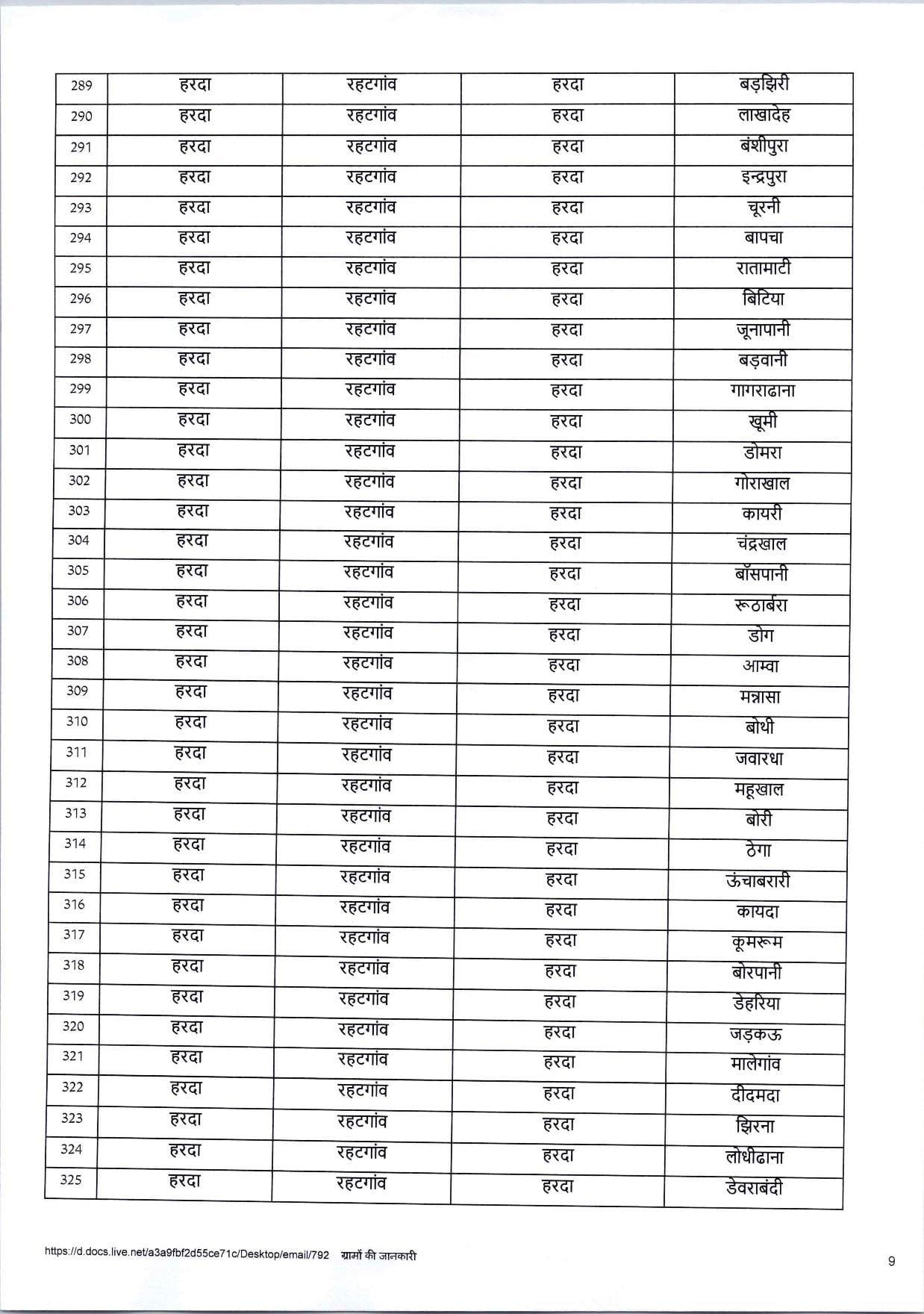
792 वन ग्रामों का राजस्व ग्रामों में किया परिवर्तन -सूची संलग्न

ब्यूरो रिपोर्ट
मुख्यमंत्री डॉ. मोहन यादव ने कहा है कि प्रदेश में 6 माह का विशेष अभियान चलाकर 792 वन ग्रामों को राजस्व ग्राम में परिवर्तित करने की अधिसूचना संबंधित कलेक्टर्स द्वारा जारी कर दी गई है। इसमें बैतूल जिले के 91, डिंडौरी के 86, मंडला के 75, खरगौन के 65, बड़वानी के 64, खंडवा के 51, सीहोर के 49, छिंदवाड़ा के 48, बालाघाट के 46, हरदा के 42, बुरहानपुर के 37, सिवनी के 28, नर्मदापुरम के 24, भोपाल के 14, धार के 13, देवास के 12, सिंगरौली के 11, नरसिंहपुर के 10, रायसेन के 7, टीकमगढ़ एवं जबलपुर के 5-5, सागर के 4, विदिशा, राजगढ़, इंदौर, कटनी और गुना के 1-1 गांव शामिल हैं।
मुख्यमंत्री डॉ. यादव ने कहा कि प्रदेश में कुल 827 वन ग्राम बचे थे। इनमें से 792 को राजस्व ग्राम में परिवर्तित किया जा चुका है। शेष 35 वन ग्रामों के वीरान/विस्थापित होने अथवा डूब क्षेत्र में होने से परिवर्तन करने की आवश्यकता नहीं रही। इस प्रकार विस्थापित होने वाले गांव को छोड़कर प्रदेश के सभी वन ग्रामों को राजस्व ग्रामों में परिवर्तित कर दिया गया है। इन 792 ग्रामों के राजस्व नक्शा बनाने का कार्य राजस्व विभाग द्वारा शुरू कर दिया है। भू-अभिलेख और नक्शा पूरे हो जाने से अब ग्रामवासियों को बड़ी सहूलियत होगी।
अब यह सुविधाएं मिल सकेंगी
मुख्यमंत्री डॉ. यादव ने कहा कि वन ग्राम के राजस्व ग्राम में परिवर्तित हो जाने से ग्रामवासियों को अनेक सुविधाएं और विकास की सौगातें मिल सकेंगी। बँटवारा और नामांतरण होने के साथ फसलों की गिरदावरी भी हो सकेगी। प्राकृतिक आपदा पर फसल बीमा योजना का लाभ मिलेगा, आँगनवाड़ी एवं विद्यालय भवन स्वीकृत हो सकेंगे और स्वास्थ्य की बेहतर सुविधाएँ मिलेंगी। बिजली, पानी, सड़क और तालाबों आदि सुविधाओं का निर्माण भी हो सकेगा। मुख्यमंत्री डॉ. यादव ने कहा कि ग्राम सभा के माध्यम से वनवासियों के कल्याण के लिये कार्य का अवसर भी मिलेगा।
